乙醇油发动机改进关键技术实验研究
[关键词:发动机,实验研究,毕业设计] [热度 ]| 提示:此毕业设计论文完整版包含【开题报告,论文,CAD图纸】 作品编号:clgc0335,word全文:45页,合计:27000字 |
论文研究目的
针对国际原油供应趋紧和价位偏高的状况,发展可再生生物车用燃料潜力很大,以及我国油品消费需求快速增长的市场前景广阔。乙醇汽油作为新型清洁燃料,是目前世界上可再生能源的发展重点,在我国完全适用;符合我国能源替代战略和可再生能源发展方向,改善了油品的性能和质量,技术上成熟安全可靠。
论文研究内容
本论文从乙醇汽油应用在汽油发动机的应用上入手,从动力性、经济性和排放特性三方面来阐述燃料乙醇在汽油发动机上应用的优势,比较不同掺杂比例的乙醇汽油的特性,分析现阶段燃料乙醇发展形势并且探讨性说明燃料乙醇的非常规性排放特性对燃料乙醇有更深入了解燃料乙醇的特性。
(1)对乙醇汽油(E0、E5、E10和E15)的理化特性及应用特点进行分析,并指出它们的优缺点。
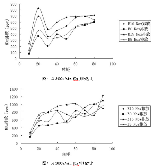
(2)根据实验所得数据绘制出不同工况下各种燃料的排放曲线,对比分析燃用混合燃料后的排放特性。
(3)评价发动机燃用混合燃料后的动力性能和燃油经济性。
本文最初研究了乙醇汽油的发展历史,国内外乙醇汽油的发展现状,发展乙醇汽油的目的和意义,为了能够更好的适应我国国情,发展乙醇已有。
为研究乙醇油发动机的动力性、经济性、排放性,设计了乙醇油发动机的动力性、经济型、排放性实验方案,选择了相关的实验设备,测得实验数据,本论文研究了汽油机燃用三种不同乙醇比例(E5、E10、E15)乙醇汽油对发动机经济性、动力性和排放性的影响,并与燃用纯汽油时的结果进行了对比分析。在车用乙醇汽油发动机性能研究中,在电控汽油机参数未作任何调整的情况下,研究了汽油机燃用乙醇汽油对发动机经济性、动力性和排放的影响。
研究表明:
1、动力性方面:汽油机改燃乙醇汽油后,部分负荷时汽油机的功率和扭矩有所降低。掺杂乙醇比例越高,汽油机的功率和扭矩降低的越明显,动力性E0>E5>E10>E15。
2、经济性方面:与纯汽油相比,三种不同掺杂乙醇的乙醇汽油的燃油消耗率有所增加;掺杂乙醇比例越高,汽油机燃油消耗率的上升的越明显,经济性E0>E5>E10>E15。
3、排放特性方面:三种不同乙醇比例的乙醇汽油的CO,HC和NOx排放较纯汽油相比都有所降低,乙醇汽油对汽油机性能的影响与空燃比控制策略有关。排放性E15>E10>E5>E0。
本文最后根据现阶段乙醇油发动机出现的问题研究了乙醇油发动机的改进技术。



| 提示:此毕业设计论文完整版包含【开题报告,论文,CAD图纸】 作品编号:clgc0335,word全文:45页,合计:27000字 |
本车辆工程毕业设计论文作品由 毕业论文设计参考 [http://www.qflunwen.com] 征集整理——乙醇油发动机改进关键技术实验研究(开题报告,论文,CAD图纸)!

当前位置: